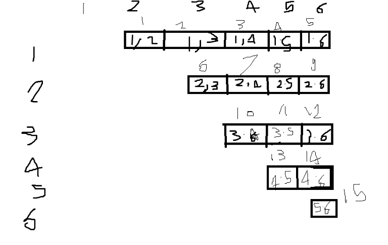
i want to write a program to do this it will take input n and index n is the size of table in this example it is equal to 6 and index like 11 so the output must be 3,5 if index = 9 the output is 2,6
| № | Пользователь | Рейтинг |
|---|---|---|
| 1 | Benq | 3792 |
| 2 | VivaciousAubergine | 3647 |
| 3 | Kevin114514 | 3603 |
| 4 | jiangly | 3583 |
| 5 | turmax | 3559 |
| 6 | tourist | 3541 |
| 7 | strapple | 3515 |
| 8 | ksun48 | 3461 |
| 9 | dXqwq | 3436 |
| 10 | Otomachi_Una | 3413 |
| Страны | Города | Организации | Всё → |
| № | Пользователь | Вклад |
|---|---|---|
| 1 | Qingyu | 157 |
| 2 | adamant | 153 |
| 3 | Um_nik | 147 |
| 4 | Proof_by_QED | 146 |
| 5 | Dominater069 | 145 |
| 6 | errorgorn | 141 |
| 7 | cry | 139 |
| 8 | YuukiS | 135 |
| 9 | TheScrasse | 134 |
| 10 | chromate00 | 133 |
help in this problem
i want to write a program to do this it will take input n and index n is the size of table in this example it is equal to 6 and index like 11 so the output must be 3,5 if index = 9 the output is 2,6
| Название |
|---|


